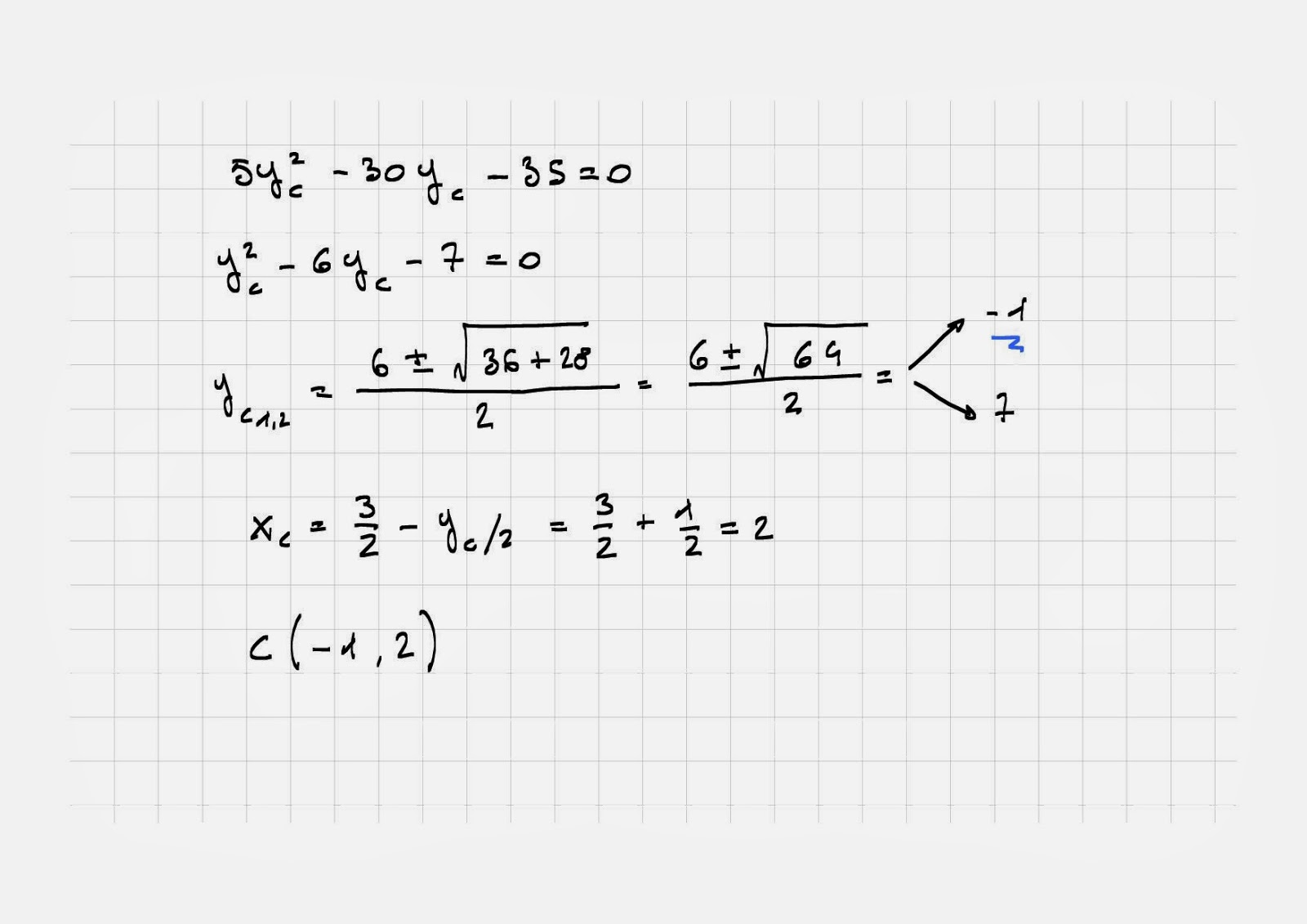
In questo video risolviamo un problema di geometria analitica, sul triangolo, usando le formule per la distanza tra due punti e per la retta passante per due punti. Il fatto fondamentale da intuire è che scrivendo le due formule precedenti con le coordinate dei punti da determinare si ricavano due equazioni in due incognite che messe a sistema permettono di ricavare appunto le suddette coordinate dei vertici incogniti. Come sempre attenzione ai segni e alle manipolazione delle equazioni (elevamento al quadrato dei membri delle equazioni, cambio di membro dei termini, quadrato del binomio ecc.) che, seppur elementari, possono essere fonte di errori.
Per quanto riguarda l'area del triangolo potevamo usare anche la formula di Erone. Dato però che si tratta di un problema di geometria analitica ho ritenuto opportuno il calcolo con l'uso della matrice coinvolgente le coordinate dei vertici A, B e C.
Ecco il video:
e le immagini relative:
Ciao a tutti e alla prossima!



















